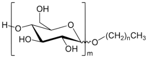
Alkyl glycosides refer to alkyl glycosides synthesized from glucose and fatty alcohols (the English name is Alkyl polyglucoside, abbreviated as APG). They refer to glycosides […]
Month: December 2023
Applications and challenges of Diode Power Module in the field of renewable energy
Along with the global demand for renewable energy continues to grow, the development of the renewable energy field has attracted increasing attention. The Diode Power […]